0
お知らせ
■商品一覧
かけっこ・ダンス・体育塾
お申し込み
寺子屋
お申し込み
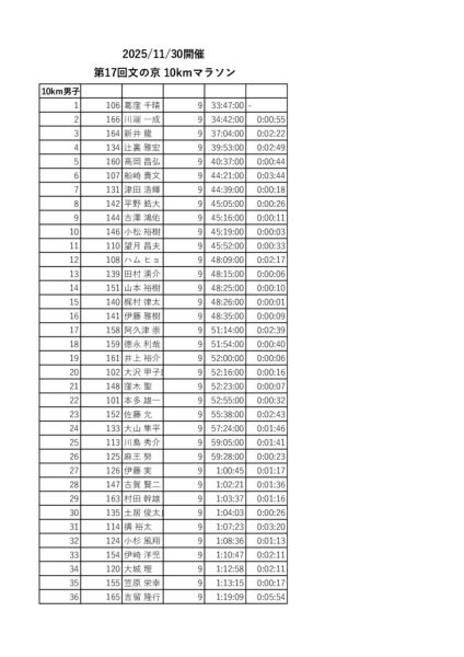
文の京マラソン
大会概要
お申し込み
今までの記録
大会ボランティア募集
上野の森マラソン
大会概要
お申し込み
今までの記録
大会ボランティア募集
2025.12.02
2025bunkyorun_10km_male